麻豆tv

研究进展

    研究进展

    当前您的位置: 麻豆tv > 研究进展 > 正文

    2022年学术进展系列之11:麻豆tv硕士研究生李国鹏等在AGN吸积盘上的含时(恒星级)黑洞并合: 等级并合的黑洞质量分布的新进展

    日期: 2022-02-22 浏览次数:

    近日,麻豆tv硕士生李国鹏研究致密双星并合起源的工作论文Time-dependent Stellar-mass Binary Black Hole Mergers in AGN Disks: Mass Distribution of Hierarchical Mergers为题Physical Review D杂志接收发表。

    第二代引力波探测器LIGOVirgo已经观测到了100多例致密双星并合事件。针对这些并合事件来源的研究,是当今该领域学界关注的焦点之一。有诸多的演化通道被讨论,如isolated binary evolutiondynamical formation等。活动星系核(AGN)距离超大质量黑洞的秒差距(pc)尺度内,存在着成千上万颗恒星级质量黑洞,这些黑洞将在AGN 吸积盘的作用下与吸积盘快速对齐,尔后,通过与吸积盘的角动量交换在盘内迁移至迁移陷阱(migration traps”(大约300个超大质量黑洞史瓦西半径)处。对齐并迁移的黑洞将在迁移陷阱内快速形成双星系统以致并合,这就是所谓的AGN channel。因为不断有黑洞迁移至迁移陷阱处,且原先并合形成的大质量黑洞可能也还滞留在迁移陷阱处,如此,就会形成等级并合hierarchical mergers)。等级并合在观测上则体现为存在有极端质量比的双致密星并合和超新星爆炸无法形成的大质量黑洞。除此之外,AGN channel的双致密星并合时间还可能伴随有强的电磁辐射或中微子辐射,这是人们的关注点之一。

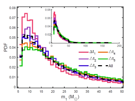
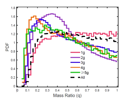
    在过往研究AGN channel双致密星并合中,大都集中在迁移过程或迁移陷阱方面,但我们注意到由于黑洞的对齐时间远大于迁移时间,因此忽略了迁移时间,着重考虑对齐时间,并提出AGN不同时期可能具有不同的并合特性。基于此,我们基于蒙特卡洛模拟,研究了AGN channel双致密星并合中双黑洞的质量、质量比统计分布,发现:

    1)此通道中多代并合的占比高达24%,其质量比峰值在0.15-0.35

    2AGN channel双致密星并合率为27-37 Gpc-3 yr-1

    3LIGO/Virgo的探测率在AGN晚期会有增加,并可探测到更多极端质量比的并合。

    AGN不同时期发生的并合的(大质量)黑洞分布

    不同代并合的双星质量比分布

    论文作者:李国鹏硕士生

    指导老师:林达斌

    论文arXiv地址://arxiv.org/abs/2202.09961

     

    联系地址:广西区南宁市大学东路100号

    联系电话:0771-3237386

    邮 编 :530004

    关注我们

    版权所有:麻豆tv-麻豆tv官网