近日,麻豆tv
博士研究生黄俊翔与导师吕候军教授课题组利用短伽马射线暴中的高频准周期振荡约束中子星的核状态方程的研究工作以“Constraining the Nuclear Equation of State of a Neutron Star via High-frequency Quasi-periodic Oscillation in Short Gamma-Ray Bursts”为题发表在期刊The Astrophysical Journal上。
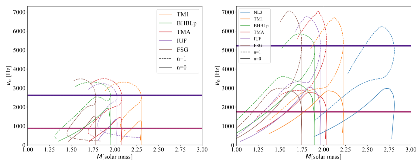
中子星的状态方程及其最大质量的确定对于理解极端条件下中子星的形成和性质是非常重要的,但仍然是一个悬而未决的问题。短伽马射线暴被认为起源于双中子星的合并或软伽马射线重复暴的巨耀发。最近,人们声称从两个短GRB(GRB 931101B和GRB 910711)中发现了高频准周期振荡(QPOs)。在本研究中,我们提出在这两个短伽马暴中观测到的高频QPOs是由与冷中子星巨耀发的扭转振荡或双星合并后形成的超大质量中子星的径向振荡引起的,然后约束了中子星的状态方程。对于扭转振荡,选择的6个适合于零温度条件的中子星(TM1、NL3、APR、sl4、DDME2和GM1)在质量范围内表现出明显的重叠,表明我们不能约束NSs的EOS。对于径向振荡,当考虑红移时,不能排除六个适合高温条件的中子星(IUF、TM1、TMA、FSG、BHBLp和NL3)。我们发现只有当并合产物的红移和温度能够被测量时,EOS才能被约束。


论文作者:黄俊翔(博士生),吕候军(唯一通讯作者),梁恩维
文章链接://iopscience.iop.org/article/10.3847/1538-4357/adaceb