我院天体物理光学AGN团组在天文学期刊《ApJ》上发表了题为“A central TDE candidate detected through spectroscopic continuum emission properties in a SDSS blue quasar”的SCI文章。
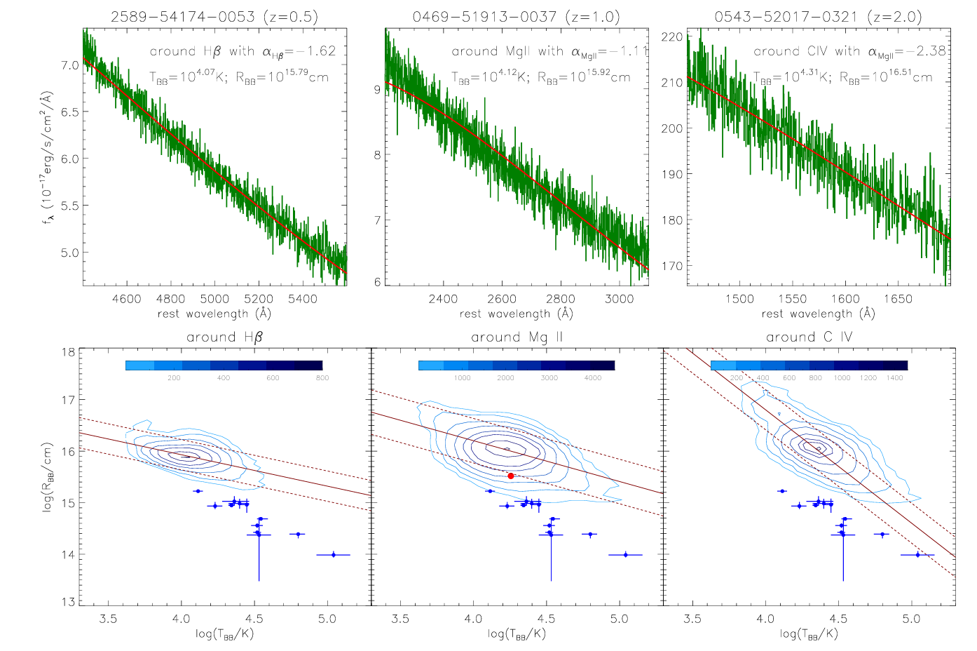
在该项工作中,基于TDE事件依赖的连续谱特征和类星体中的连续谱特征的强度差异,在黑体辐射尺度与黑体辐射温度的参数空间内,可以发现TDE事件与普通类星体的显著差异,基于该差异,我们在SDSS的类星体中进行了TDE事件的搜寻和证认。后续将基于该结果进行SDSS类星体中TDE事件的样本报道和研究。

Fig. 1: Top panel shows the best descriptions to the continuum emissions in normal SDSS quasars. Bottom panel shows the properties of SDSS quasars and TDEs in the space of R – T. In bottom panel, solid circles in blue shows the optical TDEs, and contour for the results related normal SDSS quasars.
中文题目:基于光谱和光变特征对SDSS类星体中TDE事件的证认
论文作者:张雪光(通信作者)
发表期刊:Astrophysical Journal
文章链接://arxiv.org/abs/2501.16585